articol recuperat si postat pe arduinotehniq.com in 01.2016
Pentru masurarea puterii debitate de un amplificator audio se folosesc mai multe metode, dar una simpla si usor de reprodus, inclusiv pentru masurarea pe teren, este cea prezentata
in cartea Electronica peste tot scrisa de dl. I.C.Boghitoiu si aparuta la Editura Albatros, in 1985:
Un amplificator de audiofrecventa de putere poate fi considerat drept un generator de energie electrica, deoarece la bornele sale de iesire, unde este conectata o sarcina, vom putea masura un curent si o tensiune de iesire.
Puterea electrica de joasa frecventa pe care o debiteaza un amplificator la bornele sale de iesire reprezinta unul din parametrii sai importanti, motiv pentru care se acorda o mare atentie masurarii cu precizie a acesteia.
Amplificatoarele de joasa frecventa construite de amatori au puteri de la cativa wati pana la sute de wati, iar difuzoarele conectate ca sarcina au bobinele mobile cu impedance de 4ohmi , 8ohmi , 16ohmi etc. In practica curenta, puterea de iesire a unui amplificator audio de putere se poate masura prin doua metode: o metoda directa si o metoda indirecta.
Metoda directa consta in conectarea la bornele de iesire ale amplificatorului de putere a unui watt-metru, valoarea fiind citita direct in wati. Metoda indirecta consta in masurarea fie a curentului prin sarcina, fie a tensiunii pe sarcina si efectuarea calculelor necesare pentru gasirea valorii puterii electrice.
In ambele cazuri se pleaca de la definitia puterii, exprimata dupa cum se stie prin relatiile:
,
unde:
P -puterea electrica exprimata in wati;
U - tensiunea pe sarcina, exprimata in volti;
I - curentul prin sarcina, exprimat in amperi;
R - rezistenta sau impedanta (Z) a sarcinii, exprimata in ohmi.
Astfel, daca cunoastem valoarea impedantei difuzorului conectat la iesirea unui amplificator si cunoastem si tensiunea pe aceasta impedanta, vom putea afla cu usurinta valoarea puterii debitate, aplicind relatia:
![]()
In tabel sunt date valorile tensiunilor ce se obtin pe difuzoare cu impedante diferite si pentru diverse puteri electrice.
Pentru a aplica metoda indirecta de masurare a puterii se procedeaza in felul urmator:
Folosind tabelul sau relatia de calcul a puterii, se determina valoarea acestuia
Spre exemplu, daca difuzorul folosit
are
, iar tensiunea pe care am citit-o la
bornele acestuia este de 12,65V, rezulta ca puterea amplificatorului este de 20W.
Pentru a masura direct puterea de iesire a amplificatorului, se poate construi un
watt-metru simplu, capabil sa asigure o precizie mai buna de 5%.
Schema pe care o propunem permite alegerea valorii sarcinii pe care sa debiteze amplificatorul si deci pe care sa se faca evaluarea puterii, precum si folosirea a doua scale de puteri.
In compunerea schemei intra doua comutatoare, K1 si K2, cateva rezistoare, o dioda si un aparat de masura tip miliampermetru.
Semnalul de la iesirea din amplificator se introduce la bornele A-B de intrare in W-metru, deci fara a fi nevoie de difuzoare.
Cu ajutorul comutatorului K1 se alege valoarea rezistentei de sarcina, care in cazul de fata pentru pozitia I are valoarea de 4ohmi , pentru pozitia I I are valoarea de 8ohmi , iar pentru pozitia I I are valoarea de 16ohmi .
Cu ajutorul comutatorului K2 se comuta scala W-metrului, de pe pozitia I care permite masuratori intre 0-25W pe pozitia I I care asigura masuratori in gama 0-100W.
In schema prezentata s-a ales un aparat de masura care la capat de scala are 1mA.
Din punct de vedere al partilor componente, schema cuprinde:
Rezistorul de sarcina este elementul pe care se consuma puterea debitata de amplificatorul supus masuratorii. In cazul schemei noastre, acest rezistor se alege cu ajutorul comutatorului K1.
Astfel, cand K1 este fixat in pozitia I se observa ca rezistoarele R1, R2, R5 si R6 sunt cuplate toate in derivatie, constituind o valoare de 4ohmi .
Daca amplificatorul debiteaza o putere de 25W, la bornele acestor patru rezistoare aflate in paralel va aparea o tensiune
. Aceasta tensiune de frecventa audio, trece in continuare prin dioda redresoare D1 incarcand capacitorul C1 cu o tensiune:
![]()
adica cu tensiunea de varf a semialternantelor care trec prin D1.
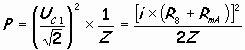
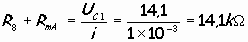
Tensiunea UC1 obtinuta prin redresare va face ca prin rezistorul R8 si aparatul de masura mA sa circule un curent:
![]()
unde RmA este rezistenta interna a aparatului de masura.
In cazul de fata stim ca i trebuie sa aibe o valoare de 1mA pentru a face ca acul aparatului de masura mA sa devieze pana la capat. Va rezulta deci:
![]()
Daca rezistenta interna a aparatului de masura are, de exemplu, 300ohmi
, rezul-ta ca
.
Pentru K1 si K2 in pozitia I prima scala a aparatului de masura va masura puteri intre 0 si 25W, ea trebuind sa fie etalonata ca atare. Pentru aceasta operatie se va folosi fie tensiunea de retea, de 50Hz, fie un amplificator audio la care modificam puterca de iesire cu ajutorul potentiometrului de volum.
Pentru a marca pe scala aparatului de masura valori cuprinse intre 0 si 25W, fie ca masuram tensiunea la bornele rezistorului de sarcina si determinam puterea dupa relatia
, fie ca citim curentul aratat de aparatul de masura si apeland la relatiile:
si ![]()
gasim

Astfel, daca aparatul de masura mA arata un curent de 0,5mA, inseamna ca puterea debitata este:
![]()
Daca se trece K1 in pozitia II, adica pentru o sarcina de 8ohmi
, iar K2 ramane tot pe pozitia I, valoarea rezistorului R9 se determina urmand aceeasi ordine de calcul. Din tabel gasim ca pentru 25W pe sarcina difuzorului de 8ohmi
va aparea o tensiune de
. Dupa redresare gasim:
![]()
iar
![]()
Cum
, rezulta
.
In acelasi mod si se calculeaza si R10 care va trebui sa aiba o valoare de 27,9kohmi .
Etalonarea aparatului pentru aceste ultime doua pozitii trebuie sa se mentina fata de etalonarea facuta pentrn prima pozitie. Valorile determinate pentru rezistoarele R8, R9 si R10 sunt valabile pentru cazul cand aparatul de masura are deviatia maxima de 1mA si o rezistenta interna de 300ohmi . Pentru alte situatii cand, spre exemplu, aparatul de masura poate sa aiba o sensibilitate de 0,25mA si o rezistenta interna de 800ohmi , va trebui sa recalculam valorile R8, R9 si R10 urmand aceeasi logica si ordine de desfasurare a calculului. Pentru situatia cand K2 este trecut in pozitia II, adica pentru masuratori de puteri pana la 100W, vom constata ca prin circuitul de masura va aparea un curent de 2mA, deoarece tensiunea la bornele sarcinii pentru 100W si Z = 4ohmi este de 20V. In acest caz, va trebui ca prin rezistenta de suntare R11 sa treaca un curent de 1mA, urmand ca aparatul de masura sa preia tot 1mA. Va-loarea de 2mA prin circuitul de masura pentru puterea de 100W se mentine pentru toate cele trei pozitii ale lui K1.
Etalonarea pentru pozitia de 100W se va face dupa aceleasi reguli ca si pentru pozitia de 25W.
In cazurile in care dorim ca valorile maxime de putere masurata sa fie altele decat cele din exemplul de fata, va fi necesar sa recalculam rezistoarele R8, R9 si R10 functie de noile limite impuse. Deasemenea, daca dorim ca aparatulsa aiba numai o singura scala, se va renunta la comutatorul K2. In realizarea aparatului va trebui sa avem grija ca rezistoarele R1...R6 sa fie alese pentru puterile corespunzatoare.
Astfel, daca aparatul va avea si scala de 100W, va trebui ca cele patru rezistoare destinate a forma sarcina de 4ohmi sa suporte cei 100 W, motiv pentru care rezistorul R6 de 10ohmi se va alege ca sa suporte 40W, iar R5 de 40ohmi o putere de 10W. R1 va trebui sa disipe 20W, R2-80W, R3-30 W si R4 o putere de 80W. Aceste rezistoare vor fi confectionate din fir de nichelina sau alt material rezistiv si vor fi bobinate pe carcase de ceramica sau placa de mica sau asbest. Rezistoarele R8...R11 vor fi de 0,25W. Ele pot fi inlocuite cu potentiometre semireglabile, avand valoarea maxima de 25kohmi , urmand ca aducerea la valoarea necesara sa se faca in timpul etalonarii. Rezistorul R7 este montat ca element de protectie si va avea o valoare de 10ohmi /1W. In cazul cand dorim sa masuram puterea amplificatorului avand difuzorul conectat direct ca sarcina, atunci se va folosi, de asemenea, schema prezentata in figura, insa cu obligatia ca rezistoarele de sarcina R1...R6 sa fie eliminate, deoarece functia lor este preluata de difuzor. In acest caz, comutatorul K1 va actiona numai cu un segment si anume acela care comuta rezistoarele R8...R10.
In acest caz, tensiunea preluata de la bornele difuzorului va fi redresata in acelasi mod ca si cel descris mai inainte, puterea fiind citita direct la aparatul de masura; de retinut totusi ca va trebui sa comutam K1 pe valoarea de impedanta corespunzatoare difuzorului folosit. Eliminarea rezistoarelor R1...R6 din circuit se poate face printr-un al treilea comutator (cu doua pozitii) montat inaintea diodei D1 si care sa comute borna A cand direct pe dioda D1 fara R1...R6, cind cu R1...R6 in paralel.
PS: Articolul original: pag.138+139, pag.140+141, pag.142+143, pag.144 sau prelucrat in format pdf!!!
O alta schema aparuta in revista Tehnium/Electronistul/Radio (nu am acum la indemana sursa) este:
Articolul complet este: pag.1 + pag.2.